Детали задачи
-
Ошибка
-
Решение: Готово
-
High
-
2025.8-RC3
-
Не заполнено
-
Не заполнено
-
Major
-
17.11-01.12
Описание
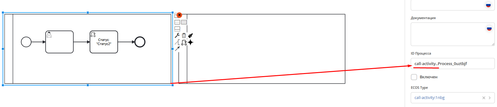
При вызове процессов из компонента call activity появляются ошибки в процессе:
1. при вызове из элемента (participant)
Шаги:
1) у компонента call activity в панели "Вызываемый процесс" заполнить поле Вызываемый элемент id процесса из компонента participant
2) создать запись в журнале, пройти по маршруту до call activity
ФР:
"no processes deployed with key = 'Process_1o98n9j' in deployment = '4942295c-ab3e-11f0-b0f4-8a019bc564c9': processDefinition is null "
ОР: процесс проходит без ошибок
2. при вызове другого процесса
Шаги:
1) у компонента call activity выбрать в панели "Вызываемый процесс" процесс, созданный в текущем ws, например candy-manager.
2) создать запись в журнале, пройти по маршруту до call activity
ФР:
Unknown status: 'status1'. Available statuses: draft, deleted, approval, reworking, active, cleaning, karaoke, reject, song
ОР: процесс проходит без ошибок
Вложенные файлы
Вложенные файлы
Связи запроса
- is caused by
-
ECOSCOM-5697 Add ability to create artifacts within workspace
-
- Готово
-
- mentioned on